О диагностической работе, применяемой в рамках расчета аккредитационного показателя, и необходимых для ее проведения оценочных материалах
Доля обучающихся, выполнивших 70% и более заданий диагностической работы, применяется в качестве аккредитационного показателя по образовательным программам среднего профессионального и высшего образования для целей осуществления государственной аккредитации, федерального государственного контроля (надзора) в сфере образования.
Согласно части 3 статьи 92 Федерального закона от 29.12.2012 № 273-ФЗ «Об образовании в Российской Федерации» (далее – Закон об образовании) аккредитационные показатели представляют собой совокупность обязательных требований, которые установлены в соответствии с Законом об образовании к качеству образования. Аккредитационные показатели утверждены в соответствии с частью 4 статьи 92 Закона об образовании по согласованию с Рособрнадзором:
- приказом Минобрнауки России от 25.11.2021 № 1094 «Об утверждении аккредитационных показателей по образовательным программам высшего образования;
- приказом Минпросвещения России от 29.11.2021 № 869 «Об утверждении аккредитационных показателей по образовательным программам среднего профессионального образования».
Методические рекомендации по применению аккредитационных показателей по образовательным программам среднего профессионального и высшего образования представлены соответственно в:
- письме Минпросвещения России от 13.05.2022 № 05-672 «О направлении копии Методических рекомендаций» (далее – МР Минпросвещения России);
- письме Минобрнауки России от 28.02.2022 № МН-5/339 «О направлении методических рекомендаций» (далее – МР Минобрнауки России).
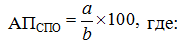
Согласно МР Минпросвещения России значение аккредитационного показателя «Доля обучающихся, выполнивших 70% и более заданий диагностической работы в ходе оценивания достижения обучающимися результатов обучения по заявленной образовательной программе»(далее – АПСПО) устанавливается по результатам выполненной обучающимися диагностической работы. Показатель АПСПО рассчитывается по нижеприведенной формуле:
a - количество обучающихся, выполнивших 70% и более заданий диагностической работы;
b - общее количество обучающих, выполнявших диагностическую работу.
Полученное при расчете дробное значение показателя округляется до целого числа по правилам математического округления.
Диагностическая работа представляет собой мероприятие по оценке качества подготовки обучающихся по образовательной программе, в том числе с применением дистанционных технологий.
Задания диагностической работы формируются с применением оценочных материалов, включенных в содержание образовательной программы образовательной организации, и (или) оценочных средств, формируемых с использованием федеральной информационной системы оценки качества образования. В случае формирования заданий диагностической работы на основе оценочных средств образовательной организации оценочные материалы образовательной организации рекомендуется предоставлять в электронном виде, а также в форме текстового документа, доступного для редактирования. Оценочные материалы, необходимые для проведения диагностической работы, должны соответствовать требованиям федеральных государственных образовательных стандартов и содержанию оценочных материалов образовательной организации.
Объем заданий, включенных в состав диагностической работы, устанавливается, исходя их предельного расчетного времени выполнения диагностической работы не более двух академических часов.
Численность обучающихся, участвующих в выполнении диагностической работы, рекомендуется на уровне не менее 70% обучающихся от списочного состава академических групп, участвующих в диагностической работе.
Источники данных, необходимых для расчета АПСПО: оценочные материалы; результаты диагностической работы.
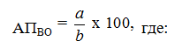
В свою очередь, МР Минобрнауки России предусмотрено, что показатель «Доля обучающихся, выполнивших 70% и более заданий диагностической работы, сформированной из фонда оценочных средств организации, осуществляющей образовательную деятельность, по заявленной образовательной программе» (далее – АПВО) рассчитывается по нижеприведенной формуле:
a - количество обучающихся, выполнивших 70% и более заданий диагностической работы;
b - общее количество обучающихся, выполнявших диагностическую работу.
Полученное при расчете дробное значение показателя округляется до целого числа по правилам математического округления.
Диагностическая работа формируется из фонда оценочных средств образовательной организации, целью которой является определение уровня достижения результатов обучения и (или) освоения образовательной программы, установленных образовательной программой по соответствующему направлению подготовки/специальности.
В соответствии с пунктом 9 статьи 2 Закона об образовании образовательная программа, разработанная в соответствии со статьей 12 Закона об образовании, представляет собой комплекс основных характеристик образования (объем, содержание, планируемые результаты) и организационно-педагогических условий, который представлен в виде учебного плана, календарного учебного графика, рабочих программ учебных предметов, курсов, дисциплин (модулей), иных компонентов, оценочных и методических материалов, а также в предусмотренных Законом об образовании случаях в виде рабочей программы воспитания, календарного плана воспитательной работы, форм аттестации.
Оценочные материалы в структуре образовательной программы являются обязательным компонентом. Под оценочными материалами (далее также – фонд оценочных средств) образовательной организации понимается совокупность разработанных и утвержденных образовательной организацией оценочных средств, представляющих собой комплекс заданий различного типа с ключами правильных ответов, включая критерии оценки, и используемых при проведении оценочных процедур (текущего контроля, промежуточной аттестации, государственной итоговой (итоговой) аттестации) с целью оценивания достижения обучающимися результатов освоения образовательной программы и (или) результатов обучения по отдельным дисциплинам (модулям), практикам. Оценочные материалы, разработанные образовательной организацией, должны обеспечивать надежную и интегративную (комплексную) оценку результатов обучения и (или) освоения образовательной программы и отвечать следующим требованиям:
- соответствие целям и задачам образовательной программы, содержанию изучаемых дисциплин (модулей), научно-исследовательской работы, практик;
- наличие полного и достаточного состава оценочных материалов в целях возможного отбора заданий для комплектования диагностической работы;
- соответствие оценочных средств предмету оценки, направленной на определение уровня достижения планируемых результатов обучения и (или) освоения образовательной программы (ее части);
- использование актуальных редакций понятий, терминов, определений, соответствующих действующему законодательству в определенной сфере общественных отношений, отраслевым регламентам, ГОСТу(ам) и т.д.
Оценочные материалы образовательной организации в зависимости от профиля (направленности) образовательной программы могут содержать задания в виде расчетных задач, мини-кейса, ситуационных задач, практико-ориентированных заданий.
Для формирования диагностической работы оценочные материалы предоставляются образовательной организацией в электронном виде, доступном для редактирования.
Диагностическая работа проводится в отношении старшего курса (года, периода) обучения, по обоснованно выбранным экспертом универсальным (общекультурным), общепрофессиональным и (или) профессиональным компетенциям, общее количество которых в совокупности составляет не менее 3-х и не более 5-ти компетенций.
Продолжительность выполнения обучающимися диагностической работы не может превышать 2-х академических часов.
Общее количество заданий, включенных в диагностическую работу, составляет, как правило, не более 30 заданий.
Численность обучающихся, участвующих в выполнении диагностической работы, должна составлять не менее 70% обучающихся, осваивающих соответствующую образовательную программу, от списочного состава академических групп.
Диагностическая работа может проводиться с применением дистанционных образовательных технологий.
При проведении диагностической работы образовательная организация обеспечивает осуществление видеозаписи проведения диагностической работы и хранение указанной видеозаписи.
Источники данных, необходимых для расчета АПВО: документы, прилагаемые к заявлению о проведении государственной аккредитации образовательной деятельности, в том числе оценочные материалы, либо документы и материалы образовательной организации, представленные для целей осуществления федерального государственного контроля (надзора) в сфере образования, протокол диагностической работы.
Установленное при расчете показателя АПСПО/ АПВОзначение сопоставляется с критериальным значением и определяется количество баллов по данному показателю.
Таким образом, показатель доли обучающихся, выполнивших 70% и более заданий диагностической работы, устанавливается по результатам выполненной обучающимися диагностической работы в ходе осуществления государственной аккредитации, федерального государственного контроля (надзора) в сфере образования. При этом задания диагностической работы формируются с применением оценочных материалов, включенных образовательной организацией в содержание образовательной программы среднего профессионального или высшего образования, и (или) оценочных средств, формируемых с использованием федеральной информационной системы оценки качества образования (для образовательной программы среднего профессионального образования).